- Thủ tướng: Nghiên cứu đưa nhà ở xã hội vào 'luồng xanh' khi làm thủ tục
- Hoàn thiện chính sách về nhà ở xã hội đối với người có công
- Nhà ở xã hội tăng tốc, kỳ vọng chỉnh lệch pha cung cầu bất động sản
Nghị quyết nêu rõ, phát triển nhà ở xã hội là một trong những nhiệm vụ trọng tâm cần ưu tiên trong phát triển kinh tế xã hội của đất nước. Đây vừa là vấn đề an sinh xã hội, đồng thời cũng là một động lực phát triển kinh tế, xã hội, góp phần tăng đầu tư, tiêu dùng, bảo đảm sự tiến bộ và công bằng xã hội.
margin: 15px auto;" />Một khu nhà ở xã hội ở Bình Dương - Ảnh minh họa
Thời gian qua, Chính phủ và Thủ tướng Chính phủ đã chỉ đạo quyết liệt công tác phát triển nhà ở xã hội thông qua việc ban hành 22 nghị quyết cùng 12 chỉ thị quyết định và công điện. Thủ tướng Chính phủ cũng đã chủ trì các hội nghị toàn quốc để triển khai nhiệm vụ với nhiều giải pháp cụ thể, tháo gỡ khó khăn và thúc đẩy tiến độ thực hiện.
Dưới sự chỉ đạo của Chính phủ và sự vào cuộc của các bộ, ngành, chính quyền địa phương công tác phát triển nhà ở xã hội có nhiều chuyển biến. Nhiều văn bản quy phạm pháp luật được ban hành, đẩy nhanh tiến độ đầu tư xây dựng cải cách thủ tục hành chính. Các địa phương bước đầu quan tâm thúc đẩy triển khai các dự án nhà ở xã hội và tổ chức nhiều đoàn công tác, tháo gỡ vướng mắc trong quá trình thực hiện.
Lũy kế đến hết tháng 12/2025 cả nước có 698 dự án nhà ở xã hội đang được triển khai với quy mô 657.441 căn. Trong đó, 193 dự án đã hoàn thành với 169.143 căn. Có 200 dự án đã khởi công đang triển khai với 134.111 căn.
Riêng năm 2025, khởi công mới 90 dự án với quy mô 95.630 căn, đã hoàn thành 102.633 trên 100.275 căn đạt 102%. Ngoài ra có 305 dự án đã được chấp thuận chủ trương đầu tư với quy mô 354.187 căn. Tổng số dự án hoàn thành khởi công và chấp thuận chủ trương đầu tư đến năm 2025 đạt khoảng 62% so với chỉ tiêu của Đề án đầu tư xây dựng khoảng 1.062.200 căn.
Chính phủ yêu cầu các cấp, các ngành và địa phương coi phát triển nhà ở xã hội là nhiệm vụ trọng tâm huy động nguồn lực xã hội lựa chọn các địa phương có nhu cầu cao để triển khai. Mục tiêu đến năm 2030 hoàn thành hoặc vượt chỉ tiêu đầu tư xây dựng ít nhất 1 triệu căn hộ nhà ở xã hội cho người thu nhập thấp và công nhân khu công nghiệp.
Chính phủ giao Bộ Xây dựng theo dõi hướng dẫn đôn đốc và tổng hợp kết quả triển khai của các địa phương định kỳ báo cáo Thủ tướng Chính phủ. UBND cấp tỉnh đưa chỉ tiêu phát triển nhà ở xã hội vào kế hoạch phát triển kinh tế, xã hội hằng năm đôn đốc các dự án đã khởi công hoàn thành trong năm 2026; đồng thời bố trí đủ quỹ đất bảo đảm hạ tầng kỹ thuật và hạ tầng xã hội đồng bộ.
Các bộ ngành và địa phương tăng cường theo dõi kiểm tra giám sát và phát huy giám sát của cộng đồng, bảo đảm chất lượng công trình và tránh thất thoát lãng phí.
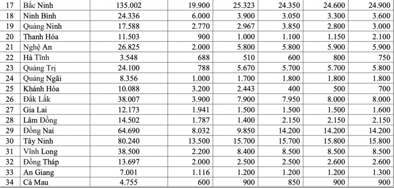
Chỉ tiêu phát triển nhà ở xã hội, giai đoạn 2026 - 2030 được giao như sau:


Có thể bạn quan tâm
- Mở rộng đối tượng mua nhà ở xã hội không qua bốc thăm
- Thủ tướng chấn chỉnh tiêu cực trong xét duyệt, mua bán nhà ở xã hội
- Công an TP. Hà Nội giải đáp về 'suất ngoại giao' mua nhà ở xã hội

